previous

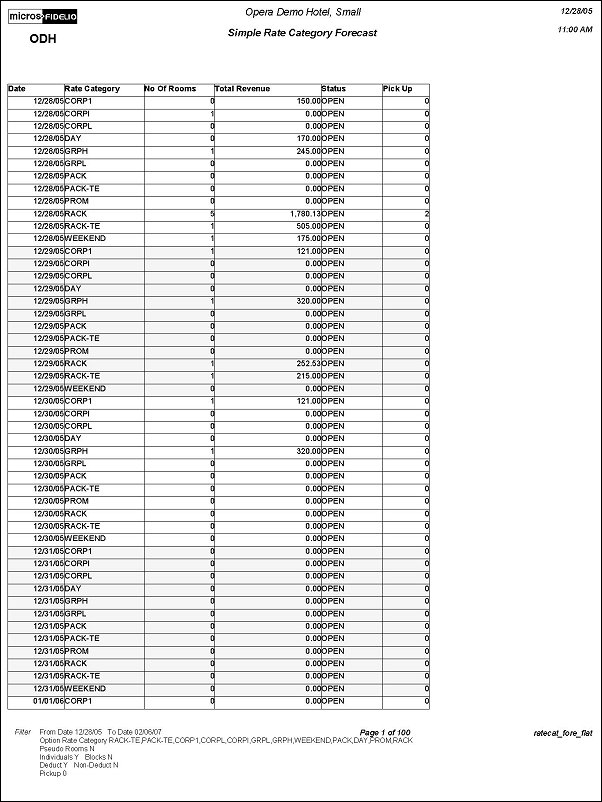
Simple Rate Category Forecast (ratecat_fore_flat with FOR10.FMX)

The Simple Rate Category Forecast report displays by rate category the count of future reservations (individual or blocks) and total revenue, as well as rate code status (Open or Closed), pick up counts, pseudo rooms, and deduct / non-deduct values per day. The default date range of the report is a forecast of 405 days, however it is highly recommended that you run the report for shorter ranges, such as for one month.

The Simple Rate Category Forecast report is similar to the Classic Rate Category Forecast report, except the Simple Rate Category Forecast report displays information in a 'simple' column view.

Selection Criteria

Date Range

From/To. Select the beginning and end dates for the range of forecasted reservations by rate category you want displayed. It is recommended that you select smaller date ranges other than the default 405 days.

Include

Deduct/Non-Deduct. Select whether or not you want deduct or non-deduct (definitive or tentative) reservations included in the report.

Filter

Include Pseudo Rooms. Select whether you want pseudo rooms included in the report.

Rate Category. Select the rate categories you want to filter the report by.

Reservation Types

Individual. Select whether you want to include individual reservations.

Block. Select whether you want to include block reservations.

Pick Up Days. Enter the specified amount of days the reservation was booked prior to the report date. If the pickup number is 1, the report would show the number of reservations taken on the system date-1. If the pickup number is 7, the pickup would show the number of reservations taken between the system date-1 and the system date -7.

Report Description

Date. The business date for the rate category reservation/revenue.

Rate Category. The rate category available for reservations.

Number of Rooms. The number of rooms, which are reserved on a rate code, belonging to the rate category in the first column on that particular day. The Status of OPEN or CLOSE indicates whether the rate codes of the rate category are open or closed.

Total Revenue. The total revenue for all reservations on that day, for a rate code belonging to the rate category indicated in the column.

Status. The Status of OPEN or CLOSE indicates whether the rate codes of the rate category are open or closed.

Pick Up. The number of days the reservation was booked prior to the business date.

Simple Rate Category Forecast Report